top of page

Ответы на вопросы читателей

  • Фото автора: Max Strix
    Max Strix
  • 22 июн. 2019 г.
  • 6 мин. чтения

Обновлено: 13 янв. 2020 г.

ree

Вопрос: что подразумевается под изомерами тяжелых металлов? Таких не бывает.

Ответ. Имеется в виду Изомерия атомных ядер, а не химическая изомерия. Это не ошибка и не авторская фантазия. Это совпадение терминологии в различных областях науки. Двоякость значения термина изомер нередко приводит к неверному его восприятию.


Вопрос: В книге встречаются скорости, превышающие скорость света. С точки зрения Теории Относительности, ни одно тело во Вселенной не может двигаться со скоростью света, Частица, движущаяся со скоростью света, должна иметь ту же скорость с точки зрения любого наблюдателя, независимо от скорости его движения, исходя постулата специальной теории относительности о независимости скорости света в вакууме от выбора инерциальной системы отсчёта (скорость света в вакууме одинакова во всех системах координат, движущихся прямолинейно и равномерно, друг относительно друга)

Ответ: несмотря на то что книга относится к жанру фантастики, во всех пояснениях о физике ее обычного пространства учтена Специальная теория относительности. Что касается скоростей превышающих скорость света, то к моему удивлению множество людей, принявших парадигму «не бывает скорости выше скорости света» за догму, реагирует на значение 1.2с или 2с, как бык на красную тряпку. По этому поводу на просторах интернета нередко разгораются жаркие споры. И это снова путаница в терминологии. В романе сложение скоростей рассматривается с точки зрения обнаружения движущегося объекта и энергии столкновения.

То есть там, где цифра превышает скоростной лимит СТО, имеется в виду скорость сближения, о чем упоминается.

Скорость сближения = изменение расстояния между объектами в единицу времени. Это вовсе не скорость движения какого бы то ни было материального тела, поэтому она может быть и больше скорости света. А вот относительная скорость объектов, то есть скорость одного из них, измеренная в системе отсчета, связанной с другим, действительно, согласно СТО, не может быть больше скорости света. Для измерения скорости сближения используется «Лабораторная система отсчета». Она применяется, как правило, при описании относительного движения. Так, если изучаемое движение происходит, в первую очередь, по отношению к какой-то подвижной системе отсчета, то переход в лабораторную систему, где расположены приборы и работают экспериментаторы, оказывается необходимым. Обычно лабораторную систему отсчета связывают с Землей и рассматривают как инерциальную.

"Релятивистские формулы предназначены именно для пересчета величины скорости одного и того же тела от одной системы отсчета к другой, а отнюдь не для вычисления «скорости сближения» или «удаления» двух тел. Если мы из одной и той же системы отсчета наблюдаем два движущихся навстречу друг другу тела, причем скорость одного тела равна 150 000 км/сек, а второго — 200 000 км/сек, то расстояние между этими телами каждую секунду будет уменьшаться на 350 000 км. Теория относительности не упраздняет законов арифметики."

[Введение в теорию относительноссти, Жуков А.И., 1961, с.73]

Если я кого-то не убедил, предлагаю посмотреть решение задачи № 1.359 (1.382) из И.Е. Иродов. Задачи по общей физике. Это один из основных задачников, используемых в ведущих российских профильных вузах.


Хоть все вышесказанное уже само по себе является ответом, все-таки хотелось бы пояснить, что на страницах книги рассуждение о релятивистском движении идет с точки зрения внеземной цивилизации, и хоть СТО и задействовано в полной мере, нигде не указано, что именно принято за эталон скорости света. Дело в самом определении термина. Под «скоростью света» подразумевается скорость света именно в вакууме, тогда как в иных средах она меняется. Таким образом скорость света сама по себе не является константой и зависит от среды. Скорость света в среде ниже скорости света в вакууме. Поэтому физические объекты могут двигаться в среде со скоростью больше скорости света в этой среде, но меньше скорости света в вакууме. При преодолении светового порога возникает эффект излучения Вавилова — Черенкова.

Опять же СТО описывает геометрию четырёхмерного пространства-времени и основана на плоском пространстве Минковского.

Невозможно даже определить «относительную скорость» в искривлённом пространстве-времени. Относительная скорость имеет смысл и может быть определена только в плоском пространстве-времени, или на достаточно малом (стремящемся к нулю) участке искривлённого пространства-времени. Любая форма коммуникации далее пределов горизонта событий становится невозможной, и всякий контакт между объектами теряется. Пример – расширение вселенной. Галактики за пределами нашего Сверхскопления галактик рано или поздно выйдут за горизонт событий и станут для нас невидимыми, поскольку их относительная скорость превысит скорость света. Это не является нарушением специальной теории относительности. Обратный пример, черные дыры, где свет остановился с точки зрения земного наблюдателя, тоже уйдя за горизонт событий.

Постулат СТО о том, что скорость света в вакууме одинакова во всех системах координат, движущихся прямолинейно и равномерно, друг относительно друга, то есть во всех инерциальных системах отсчета – утверждение чисто теоретическое. Абсолютно инерциальные системы представляют собой математическую абстракцию и в природе не существуют. Из-за кривизны пространства-времени в конечной его области невозможно устранение приливных сил гравитации переходом ни к какой системе отсчёта. В этом смысле глобальные и даже конечные инерциальные системы отсчёта в общей теории относительности в общем случае отсутствуют, то есть все системы отсчёта являются неинерциальными.

С другой стороны объекты, движение которых не связано с переносом информации (например, фаза колебаний в волне, тень или солнечный зайчик), могут иметь сколь угодно большую скорость, их скорости можно суммировать, как и взаимные скорости и скорости воспринимаемые наблюдателем при нелинейном перемещении или смене исходной системы координат.

А ведь можно еще вспомнить квантовую телепортацию, возможность на любом расстоянии мгновенно определить квантовое состояние в одном месте, путём измерения запутанного с ним состояния в другом и, соответственно, его передачу с бесконечной скоростью.


Теперь, представьте себе цивилизацию, обитающую исключительно в недрах океана. Они могут заниматься исследованиями, создать свой вариант СТО и провести эталонные измерения скорости света для своей домашней среды обитания, приняв ее за константу. Выглянув из воды эти существа сделают удивительное открытие: фундаментальную, как казалось, постоянную, можно превысить, ведь в атмосфере скорость света выше, чем в воде. Но теперь их ждет новое открытие, – в вакууме она еще выше. Изменят ли они свои взгляды или, возможно, они консерваторы и оставят первичную константу, добавляя лишь коэффициенты?

Мы можем только прогнозировать логику иных цивилизаций, к тому же мы сами еще слишком мало знаем о вселенной и наши теории до сих пор слишком несовершенны для того, чтобы с воинствующим консерватизмом крушить новые гипотезы и даже любые фантастические предположения.


Вопрос: В романе говориться о столкновениях на суммарных скоростях, а всем известно, что скорости при столкновении движущихся навстречу автомобилей не складываются. Если два тела двигаясь со скоростями 0,99 навстречу друг-другу столкнутся, то столкновение произойдёт на скорости 0,9999 от скорости света.

Ответ: это еще одна тема для жарких дискуссий в интернете, особенно после выхода одной из серий телепередачи "разрушители легенд". Доводы авторов сериала основаны на том, что кинетическая энергия равномерно распределяется между двумя столкнувшимися автомобилями равной массы, поэтому скорости не складываются.

Тем не менее, исходя из Закона сохранения импульса и закона сохранения энергии, энергия столкновения прямо пропорциональна сумме скоростей. Причем, если для объектов, движущихся с небольшими скоростями, кинетическая энергия по большей мере уходит в их отталкивание и деформацию, то при столкновении со скоростями соизмеримыми со скоростью света, происходит суммарное выделение большого количества энергии, заставляя материю распадаться и в последствии собираться. Более подробно об этом можно узнать из описания процессов, протекающих в адронном коллайдере. В отличии от ускорителей элементарных частиц, бомбардирующими неподвижный объект, где столкновения происходят на скорости до 0.99с, коллайдеры сталкивают разнонаправленные потоки на суммарных скоростях 1.98-1.99с.

Вопрос: стрельба космическим кораблём снарядами, двигающимися со скоростями близкими к скорости света, придаст такое ускорение и импульс кораблю (отдача), что неизменно откинет его в другую галактику и размажет экипаж в мономолекулярную плёнку.

Ответ: Очередной миф. Во-первых, отдача прямо пропорциональна массе снаряда и его скорости и обратно пропорциональна массе корабля. Во-вторых, существуют способы уменьшать или вовсе избежать отдачи (например: разнонаправленный импульс, принцип безоткатных орудий)

В-третьих, даже при современном развитии технологий удается разгонять пучки обладающих массой частиц, ядер тяжёлых металлов и протонов, до скорости лишь на 3 м/с меньше скорости света, и адронные коллайдеры до сих пор никуда не отбросило. А еще можно вспомнить о корпускулярной радиации, состоящей из элементарных частиц или атомных ядер, движущихся со скоростью 300- 23 700 км/с. Источники излучения, понятное дело, от отдачи не страдают. Да, массы ничтожны, но и скорости велики. Энергии снаряда весом в десять грамм, разогнанного до близких к световой скоростей, вполне достаточно для поражения звездолетов.


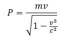
Для примера можно сделать элементарные расчеты. Скорость света 299 792 458 м/с. Допустим масса нашего звездолета 10 тыс. тонн = 10000000 кг (приблизительный вес крейсера периода первой мировой). Возьмём массу снаряда в 100 грамм = 0.1 кг. Снаряд выпускается из орудия неподвижного корабля со скоростью 0.99 скорости света. Формула релятивистского импульса

ree

где М- масса, а V – скорость, с – скорость света

По третьему закону Ньютона - Р(корабля)=Р(снаряда) Так как сам корабль находится в покое, то

ree

Значит скорость корабля после выстрела

ree

V (к) = 0.1 * 296794533,42 / 1410673,59 = 21 м/с =‪‪75,6 км/час

Выяснили: в другую галактику нас не отбросило, в мономолекулярную плёнку не размазало, а если компенсировать отдачу одновременным форсажем двигателя, то и вовсе не заметим толчка.

Для конкретного примера приведенного в книге, где звездолет, двигаясь на 0,4 световой, стреляет снарядом той же массы, вылетающем со скоростью в те же 0,4с, в результате отдачи корабль уменьшит скорость приблизительно на 11 км/час.

Комментарии


bottom of page